トップ>研究概要>プロトン−電子連動系/電子ドナー・核酸塩基系
下に分子性導体の例を示した。TTF-TCNQ錯体は1973年に合成された最初の分子性金属である。[1,2] このTTF-TCNQ錯体は66 K以下の温度では絶縁体へと転移することが知られている。この絶縁体への転移を防ぐためTMTSFやETが合成され、これらのラジカル塩においては超伝導状態までも実現された。[3,4] 一方、当研究室で開発されたDTPYはブロマニルやクロラニルと電荷移動錯体を形成し、これらはフルバレン骨格 (図のピンク) とTCNQ骨格を含まない初めての分子性金属を形成した。[5]

プロトン電子連動型物質 [6] の最も基本的な分子システムは水素結合鎖を有する電荷移動錯体、すなわち水素結合型電荷移動錯体であると考えられる。そこで我々はバイオマテリアル創出への展開も念頭に置き、水素結合成分としてRNA、DNAの構成成分であるアデニン・ウラシル (チミン) ・グアニン・シトシンを上記電子ドナー成分であるTTFや当研究室で開発したDTPYと組み合わせることにより水素結合型電荷移動錯体の合成を試みている。
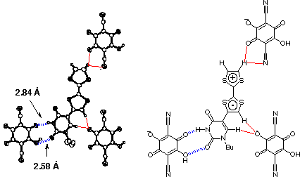
TTF-ウラシル (チミン) 誘導体は非常に良好な電子ドナー性を示す。これらの化合物はTCNQ等の各種アクセプター分子と電荷移動錯体を形成した。その中でもシアナニル酸との電荷移動錯体 (下図) について結晶構造が明らかとなった。ウラシル部位はシアナニル酸と相補的な二重水結合 (青の点線) を形成していた。またC-H矣畊水素結合 (赤の実線) によりさらに結晶が安定化されており、相補的二重水素結合とC-H矣畊水素結合からなる二次元シート構造を形成していた。しかし温度可変分光測定においてプロトン移動の有無は確認されておらず、今後圧力依存測定の必要性があると考えられる。[7]
TTF-アデニン誘導体はTTF-U(T)とは対照的に母体構造であるTTFに比べてドナー性の低下が示唆された。また、そのTCNQ、シアナニル酸錯体を合成し、TCNQ錯体ではTCNQのイオン化度が小さく、CTバンドが高エネルギー領域に見られたことから交互積層型電荷移動錯体であると思われる。[8]
このように核酸塩基の相補的多重水素結合を利用し、プロトン電子連動型物質の基礎となる高度に水素結合がネットワーク化した電荷移動錯体の創出を目的に研究を行っている。
1. Ferrais, J.; Cowan, D. O.; Walatka, V. Jr.; Perlsein, J. H. J. Am. Chem. Soc. 1973, 95, 948.
2. 分子性導体に関する書籍: 季刊化学総説No.35 1998, p電子系有機固体-分子設計・電子物性 (電荷とスピン) ・応用, 日本化学 会編, 学会出版センター
3. Bechgaard, K.; Carneiro, K.; Rasmussen, F. B.; Olsen, M. J. Am. Chem. Soc. 1981, 103, 2440.
4. Williams, J. M.; Kini, A. M.; Wang, H. H.; Carlson, K. D.; Geiser, U.; Montgomery, L. K.; Pyrka, G. J.; Watkins, D. M.; Kommers,J. M.; Boyschuk, S. J.; Crouch, A. V. S.; Kwok, W. K.; Schirber, J. E.; Overmyer, D. L.; Jung, D.; Whangbo, M.-H. Inorg. Chem. 1990, 29, 3274.
5. Nakasuji, K.; Sasaki, M.; Kotani, T.; Murata, I.; Enoki, T.; Imaeda, K.; Inokuchi, H.; Kawamoto, A.; Tanaka, J. J. Am. Chem. Soc. 1987, 109, 6970.
6. Nakasuji, K.; Sugiura, K.; Kitagawa, T.; Toyoda, J.; Okamoto, H.; Okaniwa, K.; Mitani, T.; Yamamoto, H.; Murata, I.; Kawamoto, A.; Tanaka, J. J. Am. Chem. Soc. 1991, 113, 1862.
7. Morita, Y.; Maki, S.; Ohmoto, M.; Kitagawa, H.; Okubo, T.; Mitani, T.; Nakasuji, K. Org. Lett. 2002, 4, 2185.
8. Morita, Y.; Maki, S.; Ohmoto, M.; Kitagawa, H.; Okubo, T.; Mitani, T.; Nakasuji, K. Synth. Met., 2003, 135-136, 541.
(c) Copyright 2009 Morita Group. All Rights Reserved.